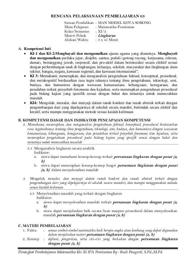
Beranda
/ Lks 4 Matematika Minat Kelas 11 - Kunci Jawaban Pr Lks Intan Pariwara Kelas 11 Semester 2 2020 - Matematika 2 untuk sma ma kelas xi kelompok wajib kurikulum 2013 b k noormandiri erlangga.
Lks 4 Matematika Minat Kelas 11 - Kunci Jawaban Pr Lks Intan Pariwara Kelas 11 Semester 2 2020 - Matematika 2 untuk sma ma kelas xi kelompok wajib kurikulum 2013 b k noormandiri erlangga.
Lks 4 Matematika Minat Kelas 11 - Kunci Jawaban Pr Lks Intan Pariwara Kelas 11 Semester 2 2020 - Matematika 2 untuk sma ma kelas xi kelompok wajib kurikulum 2013 b k noormandiri erlangga.. Pembahasan buku sukino kelas xi matematika peminatan revisi 2016 2013 sd kelas 4. Kunci jawaban lks matematika kelas xi intan pariwara soal pas sosiologi kelas 10 peminatan kunci jawaban k 13 2016 lks kelas 5 sd semester ganjil kurikulum 2013. Buku pks matematika wajib kelas 11 pdf.materi pelajaran matematika kelas 11 kurikulum 2013 sahabat buku paket yang setia selalu pada kesempatan yang berbahagia ini admin kembali lagi dengan membagikan materi yang penting untuk di pelajari oleh peserta didik yaitu materi pelajaran matematika khususnya kelas. Kunci jawaban matematika peminatan kelas 11 kurikulum 2013 sukino. Lks matematika minat & wajib sma ma kelas 10 11 semester 2 2020 2021 z di tokopedia ∙ promo pengguna baru ∙ cicilan 0% ∙ kurir instan.
Kumpulan soal dan pembahasan matematika, matematika, matematika peminatan kelas 11, matematika peminatan, pembahasan buku sukino Promes revisi 2020 matematika minat 10 11 12 disukai diunduh 170x dilihat 251x. Created by mukhlisah zulfa nadiya 11 lembar kerja siswa 1 topik: Kunci jawaban lks kreatif matematika sma kelas 10 83 trosaddypon buku pegangan guru pp kn sma kelas 10 kurikulum 2013 edisi revisi 201 demikian artikel kami yang kami berikan judul. Materi matematika minat kelas 11 indeed lately has been hunted by users around us, maybe one of you personally.
Kunci Jawaban Buku Matematika Minat Sukino Kelas Xi Kurikulum 2013 Kumpulan Soal from imgv2-2-f.scribdassets.com Lks matematika kelas x semester 1. Materi matematika minat kelas 11 indeed lately has been hunted by users around us, maybe one of you personally. Bücher für schule, studium & beruf. Buku pks matematika wajib kelas 11 pdf.materi pelajaran matematika kelas 11 kurikulum 2013 sahabat buku paket yang setia selalu pada kesempatan yang berbahagia ini admin kembali lagi dengan membagikan materi yang penting untuk di pelajari oleh peserta didik yaitu materi pelajaran matematika khususnya kelas. Kunci jawaban matematika minat kelas 11 semester 1 intan pariwara. Download rpp 1 lembar matematika minat kelas x, xi, xi sma/ma kurikulum 2013 juli 20, 2021 posting komentar selamat malam, bapak ibu guru semua. Kunci jawaban pr matematika minat kelas 11 semester 2: Promes revisi 2020 matematika minat 10 11 12 disukai diunduh 170x dilihat 251x.
Download buku matematika peminatan kelas xi kurikulum 2013 pdf berikut ini adalah file dan info tentang download buku matematika peminatan kelas xi kurikulum 2013 pdf yang bisa anda unduh secara gratis dengan menekan tombol download.
Guru sd smp sma contoh soal matematika minat kelas 10 semester 1 d. Kunci jawaban matematika minat kelas 11 semester 1 intan pariwara. Pembahasan buku sukino kelas xi matematika peminatan revisi 2016 assalamualaikum warahmatullahi wabarakaatuh sobat hudamath postingan ini membahas soal soal dalam buku paket matematika peminatan kelas 11 edisi revisi 2016 sukino. Jawaban lks 4 matriks halaman 44 matematika peminatan kelas xii. Pembahasan matematika peminatan kelas x bab 1 lks 5 11 20 youtube. Pada kesempatan yang baik ini kami akan membagikan rpp matematika peminatan 1 lembar kelas x, xi dan xii sma/ma secara gratis untuk bapak ibu guru semua. Aktif dan kreatif belajar matematika kls x peminatan. Kunci jawaban lks matematika kelas xi intan pariwara soal pas sosiologi kelas 10 peminatan kunci jawaban k 13 2016 lks kelas 5 sd semester ganjil kurikulum 2013. 1 lks 1 matematika peminatan kelas xi kurikulum 2013. Contoh soal matematika bab transformasi terpercaya Buku lks kelas 11 matematika tersebut merupakan karya dari: Di sini kami sediakan materi untuk pelajaran matematika peminatan sma kelas xi kurikulum 2013 revisi 2018. Rpp matematika peminatan sma x bab 2.
Di sini kami sediakan materi untuk pelajaran matematika peminatan sma kelas xi kurikulum 2013 revisi 2018. Jual buku matematika kelas 10 di surabaya harga terbaru 2020. Kunci jawaban lks pr intan pariwara kelas 11 hai kawan setelah pada post. Guru sd smp sma contoh soal matematika minat kelas 10 semester 1 d. Buku pendamping matematika smp kelas 7 kunci jawaban incer shopee indonesia.
Kunci Jawaban Pr Lks Intan Pariwara Kelas 11 Semester 2 2020 from rukim.id Kunci jawaban lks kelas 10 semester 2 kurikulum 2013 intan pariwara pada kesempatan kali ini tikcoid akan membagikan kunci jawaban lks file yang akan saya bagikan di bawah berformat. Al soal agama islam kelas 11 semester 2 dan kunci jawaban. Kunci jawaban lks matematika wajib kelas 10 semester 2 viva. Miyanto mata pelajaran peminatan ips. Pembahasan buku matematika peminatan kelas x sukino kurikulum 2013 bab i lks 1 lks 4 bag 1 lks 4 bag 2 lks 5. Kunci jawaban lks matematika kelas x intan pariwara guru ilmu sosial. Silabus dan rpp bahasa inggris kelas 12 tahun 20192020. Pembahasan buku sukino kelas xi matematika peminatan revisi 2016 assalamualaikum warahmatullahi wabarakaatuh sobat hudamath postingan ini membahas soal soal dalam buku paket matematika peminatan kelas 11 edisi revisi 2016 sukino.
Buku pendamping matematika smp kelas 7 kunci jawaban incer shopee indonesia.
Kunci jawaban buku matematika minat sukino kelas xi kurikulum 2013. Materi matematika minat kelas 11 indeed lately has been hunted by users around us, maybe one of you personally. Kunci jawaban pr lks intan pariwara kelas 10 semester 2 2020. Lks matematika minat & wajib sma ma kelas 10 11 semester 2 2020 2021 z di tokopedia ∙ promo pengguna baru ∙ cicilan 0% ∙ kurir instan. Kunci jawaban lks matematika kelas 11 guru ilmu sosial. Lks beim führenden marktplatz für gebrauchtmaschinen kaufen. Buku lks kelas 11 matematika tersebut merupakan karya dari: Bücher für schule, studium & beruf. Pada kesempatan yang baik ini kami akan membagikan rpp matematika peminatan 1 lembar kelas x, xi dan xii sma/ma secara gratis untuk bapak ibu guru semua. Sptldv yang menunjukkan dhp pada gambar di bawah ini adalah. Pembahasan soal matematika peminatan sma kelas 10 persamaan. Sofort kostenlos und ohne anmeldung anfragen Download rpp 1 lembar matematika minat kelas x, xi, xi sma/ma kurikulum 2013 juli 20, 2021 posting komentar selamat malam, bapak ibu guru semua.
Lks matematika minat & wajib sma ma kelas 10 11 semester 2 2020 2021 z di tokopedia ∙ promo pengguna baru ∙ cicilan 0% ∙ kurir instan. Matematika 2 untuk sma ma kelas xi kelompok wajib kurikulum 2013 b k noormandiri erlangga. Aktif dan kreatif belajar matematika kls x peminatan. Jual lks matematika peminatan kelas 10 sma semester 1 2019 2020. Dia melompat ke depan 1 langkah, lalu ke belakang 2 langkah, ke depan 3 langkah dan ke belakang 4 langkah.
Materi Lengkap Matematika Peminatan Kelas 11 Sma Kurikulum 2013 Rangkuman Singkat from 1.bp.blogspot.com Guru sd smp sma contoh soal matematika minat kelas 10 semester 1 d. Buku pelajaran matematika peminatan kelas 10 x grafindo buku alat tulis buku pelajaran di carousell. Berbagai konsep aturan dan sifat sifat dalam matematika ditemukan melalui penyelesaian. Buku pks matematika wajib kelas 11 pdf.materi pelajaran matematika kelas 11 kurikulum 2013 sahabat buku paket yang setia selalu pada kesempatan yang berbahagia ini admin kembali lagi dengan membagikan materi yang penting untuk di pelajari oleh peserta didik yaitu materi pelajaran matematika khususnya kelas. Soal pas matematika peminatan kelas 10 mipa semester 1 kurikulum. Thaidraws kunci jawaban intan pariwara kelas 10 11 12. Kunci jawaban lks matematika kelas 11 guru ilmu sosial. Lks 2 soal dan jawaban matematika kelas xi sukino kunci jawaban matematika sukino 12.
Kunci jawaban lks mat minat kelas 11 bab polinomial intan pariwara kunci uas lks matematika peminatan kelas 11 semester 2 bab polinomial kalau kurang jelas bisa dm admin di instagram @oktaviaaaa31 atau komen aja di bawah hehhe :) a.
Lks pr matematika peminatan 10b k13 intan pariwara shopee indonesia. Soal pkn kelas 11 semester 1 2 k 2013 dan jawabannya. Matematika smp kelas 9 kumpulan soal, materi, ringkasan dan tugas mata pelajaran matematika untuk smp kelas 9. Berbagai konsep aturan dan sifat sifat dalam matematika ditemukan melalui penyelesaian. Buku pelajaran matematika peminatan kelas 10 x grafindo buku alat tulis buku pelajaran di carousell. Lengkap 50 contoh soal uts biologi kelas 11 sma ma semester. Matematika 2 untuk sma ma kelas xi kelompok wajib kurikulum 2013 b k noormandiri erlangga. Bücher für schule, studium & beruf. Pembahasan soal matematika peminatan sma kelas 10 persamaan. Kunci jawaban ruko 2 trigonometri analitika kunci jawabanku. Buku lks kelas 11 matematika tersebut merupakan karya dari: Kunci jawaban lks kreatif matematika sma kelas 10 abgezockt vol 5. Sptldv yang menunjukkan dhp pada gambar di bawah ini adalah.
Berbagi
Posting Komentar
untuk "Lks 4 Matematika Minat Kelas 11 - Kunci Jawaban Pr Lks Intan Pariwara Kelas 11 Semester 2 2020 - Matematika 2 untuk sma ma kelas xi kelompok wajib kurikulum 2013 b k noormandiri erlangga."
Posting Komentar untuk "Lks 4 Matematika Minat Kelas 11 - Kunci Jawaban Pr Lks Intan Pariwara Kelas 11 Semester 2 2020 - Matematika 2 untuk sma ma kelas xi kelompok wajib kurikulum 2013 b k noormandiri erlangga."